By : Research Division HIMA ESP FEB UNPAD
Pandemi COVID-19 yang dialami oleh 213 negara, membuat perekonomian dunia terguncang. Di Indonesia, salah satu dampak pandemi ini adalah perubahan harga – harga secara drastis termasuk barang kebutuhan pokok. Penelitian ini akan membahas mengenai efek yang ditimbulkan akibat perubahan harga kebutuhan pokok, terhadap kesejahteraan masyarakat yang diukur dengan besaran utilitas, jumlah konsumsi, serta consumer loss ketika ingin mempertahankan utilitasnya.
Berikut ini adalah tabel yang menunjukan rata – rata peningkatan harga sembako di
Indonesia, dari tanggal 31 Maret– 3 April 2020.

Selanjutnya, tabel diatas diringkas dengan merata – rata kan harga dari komoditas tersebut, ditambah dengan volume konsumsi (sumber : ringkasan eksekutif susenas maret 2018) untuk menentukan kepentingan relatif konsumen dalam mengkonsumsi komoditas tersebut.

Dari tabel 2, kemudian dikelo mpokan menjadi 2 jenis barang, yaitu barang X dan Y. dimana nilai kepentingan relatif adalah per bandingan X dan Y adalah dari volume konsumsinya. Sehingga dapat digambarkan dalam tabel berikut ini.

Dari tabel 3 diatas, dapat disimpulan bahwa fungsi utilitas masyarakat adalah sebagai berikut.

Selanjutnya, dari data BPS pada Desember 2019, garis kemiskinan di Indonesia adalah Rp. 2,017,664 per rumah tangga miskin per bulan. Dengan menggunakan rata – rata tertimbang dari harga barang awal pada 31 Maret 2020 maka persamaan anggaran yang dihadapi adalah sebagai berikut.
![]()
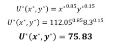
Utilitas yang diperoleh masyarakat ketika sebelum adanya kenaikan harga, dapat digambarkan dari pengerjaan persamaan berikut ini.
Sehingga, indirect utility function nya saat utilitas maksimum dapat dinyatakan sebagai berikut.

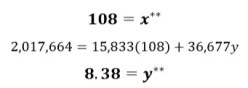
Ketika terjadi kenaikan harga, maka utility nya berkurang seperti ditunjukan pada pengerjaan persamaan berikut ini.


Maka didapatkan x** dan y** yang memberikan utilitas maksimum baru yaitu

Dapat terlihat bahwa ketika harga – harga naik, menyebabkan utilitas (kemakmuran) masyarakat menjadi berkurang juga, sederhananya adalah ketika harga barang naik namun pendapatan tetap maka kita mendapat lebih sedikit barang dan jasa dengan uang tersebut dibandingkan sebelum harga naik. Data ini merupakan representasi keadaan utilitas selama terjadinya pandemi.
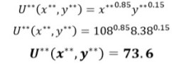
Melansir dari CNN Indonesia, berita terbitan Kamis, 16 April 2020, untuk mengahadapi kecenderungan harga yang meningkat, pemerintah pusat dan pemprov DKI Jakarta akan memberikan bantuan uang tunai kepada masyarakat sebesar Rp. 600,000.00 per keluarga dalam bentuk barang yang akan disalurkan sebanyak empat kali. Untuk penyederhanaan, maka bantuan ini akan dihitung tetap dengan satuan mata uang, berarti satu per empat bagian dari Rp. 600,000.00 adalah Rp. 150,000.00 per bulan untuk membeli bahan pokok. Lalu apakah tambahan pendapatan ini dapat mengembalikan utilitas awal masyarakat? Sebelum kepada jawaban pertanyaan tersebut, saya akan menyelesaikan persamaan lagrange menggunakan metode dual untuk mengetahui berapa biaya baru (M*) untuk mendapatkan utilitas semula ditengah kecenderungan harga yang mengalami kenaikan.

Sehingga untuk mendapatkan utilitias yang sama sebelum terjadi kenaikan harga, maka biaya minimum nya adalah

Jadi, ketika harga barang – barang naik dan pemerintah memberi bantuan uang tunai sebesar Rp. 150,000.00 per keluarga per bulan, maka ini sudah jauh lebih dari cukup untuk menjaga level utilitas atau kelangsungan hidup (dalam mengkonsumsi barang pokok), dan dengan asumsi kebutuhan untuk barang – barang lain tidak diperhitungkan. Ini didasarkan kepada selisih antara M dan M* (Rp. 2,078,392.64 – Rp. 2,017,664 =Rp. 60,728.64) yang tidak sampai lebih dari Rp. 150,000.00. Secara grafis, perubahan dari U* sampai dengan U** kemudian kembali lagi ke utilitas awal dapat digambarkan seperti berikut ini.

Dari grafik diatas, dapat ditentukan total effect dari perubahan harga X dan Y
- Efek perubahan harga X adalah sebagai berikut :
- Substitution effect : 112.05 – 111.51 = 0.54
- Income effect : 111.51 – 108 = 3.51
- Total effect : Substitution effect + income effect = 4.05
- Efek perubahan harga Y adalah sebagai berikut :
- Substitution effect : 8.53 – 8.38 = 0.15
- Income effect : 8.3 – 8.53 = -0.23
- Total effect : Sebstitution effect + income effect = 0.15 – 0.23 = -0.08
Untuk barang X (beras dan cabai) dalam pengamatan ini memiliki nilai substitution effect yang yang lebih kecil daripada income effect, memiliki makna bahwa ketika terjadi perubahan harga barang X menjadi lebih mahal, kecenderungan masyarakat adalah tetap mengoptimalkan konsumsinya dari pada menggantinya dengan konsumsi barang lain. Nilai total effect yang positif mengindikasikan masyarakat untuk mempertahankan presentase konsumsinya. Sedangkan untuk barang Y (daging sapi dan gula) nilai substitution effect nya lebih besar daripada income effect, yang berarti bahwa ketika terjadi kenaikan harga, masyarakat cenderung untuk mensubstitusinya daripada mempertahankan konsumsinya. Nilai total effect yang negatif mengindikasikan bahwa sebaiknya masyarakat membeli barang Y dengan presentase yang lebih sedikit. Dari seluruh pembahasan diatas dapat disimpulkan bahwa ketika pandemi ini terjadi, mengakibatkan harga beberapa barang kebutuhan pokok yang kami amati mengalami kenaikan yang tidak diimbangi dengan kemampuan masyarakat ekonomi lemah. Ketidakmampuan masyarakat golongan ini diakibatkan mareka kehilangan pekerjaannya, sehingga perlu bantuan pemerintah untuk mempertahankan utilitasnya di tengah kondisi ini. Kemudian pemerintah memberikan bantuan uang secara tunai sebesar Rp. 150.000 per bulan, dan menurut perhitungan dan asumsi kami, bantuan tersebut cukup untuk menjaga utilitas masyarakat. Tetapi tentunya pengamatan ini belum mencakup faktor – faktor lain yang bisa mempengaruhi pola konsumsi masyarakat secara nyata, dan bagaimana utilitas masyarakat yang paling nyata, tetapi kami yakin bahwa pengamatan ini masih bisa menggambarkan bagaimana proses – proses dan pengaruh kenaikan harga akibat pandemi COVID-19.
Referensi
CNN Indonesia. (2020, April 16). Nasional. Diambil kembali dari CNN INDONESIA: https://m.cnnindonesia.com/nasional/20200415141508-20-493791/tgupp-aniesjelaskan-dana-bansos-senilai-rp600-ribu-per-kk
Megapolitan. (2020, April 02). Diambil kembali dari Kompas.com: https://megapolitan.kompas.com/read/2020/04/02/16251391/pemerintah-pusat-danpemprov-dki-akan-beri-rp-1-juta-untuk-37-juta-warga?page=1
Badan Pusat Statistik. (2020). 15 Januari 2020, Berita Resmi Statistik. Jakarta: Badan Pusat Statistik.